今天早上3点半,日本发生了一次4.6级地震,震源深度70km。根据我们的经验,一般5级以上地震才可能引起破坏,而且深度超过30km后,同样震级的地震破坏力会大幅度减小,所以看到这个地震我并没有多想,翻个身继续睡了。早上起床看了一眼地面运动数据却吓了一跳,测得的最大地面峰值加速度达到140cm/s/s,而且超过80cm/s/s的地震记录有好几条,于是就用RED-ACT系统做了一下分析,具体分析结果参见后文。
当然,这样的地面运动强度对日本不会引起任何破坏。但是如果是中国的建筑,则结果就未必了,比如以我的家乡安徽芜湖为例,这样的地震可以导致最多39%的建筑达到中度破坏,61%的建筑达到轻度破坏(MYG007台站数据)。类似的,从后文单体结构分析结果也可以看出,这样的地震也可以引起单层非设防砌体的轻微破坏。如果当真某一天,在芜湖脚底下发生了一次同样的深度70km的4.6级地震,我们根据经验认为不会有事,那可能在地震应急上就会导致误判。

日本0307地震对芜湖建筑的破坏力
所以,回到我们此前一再强调的话题,震级、震源深度确实是地震破坏力大小的一个重要参考指标。但是,地震是如此之复杂,地震实际破坏力和震级、震源深度的关系其实有很大的离散度。而地震动的时程又非常复杂,简单的一个峰值并不足以提供充分的信息(比如下面分析就可以看出,MYG002台站的地面运动峰值加速度比MYG007台站高了近一倍,但是实际破坏力反而更低)。
所以,利用现在发达的传感和通讯记录,直接测得地面实际地震运动强度,进而利用高性能计算机进行建筑和城市的抗震弹塑性分析,对提升震害评估的准确性是一个非常有效的方法。
有关讨论参见相关文章
为什么需要发展城市抗震弹塑性分析 | 从8.8九寨沟地震和8.21意大利地震谈起
好好的剧情,怎么反转又反转了呢? | 从18、19日东京地震谈谈城市抗震弹塑性分析的必要性
------RED-ACT地震破坏力分析结果------
致谢和声明
感谢日本K-NET与KiK-net为本研究提供数据支持。本分析仅供科研使用,具体灾情和灾损分析应根据现场调查情况确定。
一、地震情况简介
当地时间3月7日04时26分在日本宫城县附近根室半岛海域发生4.6级地震,震源深度70千米,震中位于北纬38.7度,东经141.6度。
二、强震记录及分析
20190307日本宫城县附近发生了4.6级地震获得了29组地震动,由于地震动没有完全收集,可能还有更强的记录。典型地震记录分析如下:
MYG002台站位置为北纬38.72度,东经141.51度(图1),记录到水平向地震动峰值加速度为139.65cm/s2,竖直向地震动峰值加速度为27.06cm/s2。该地震动及反应谱如图2、图3所示。
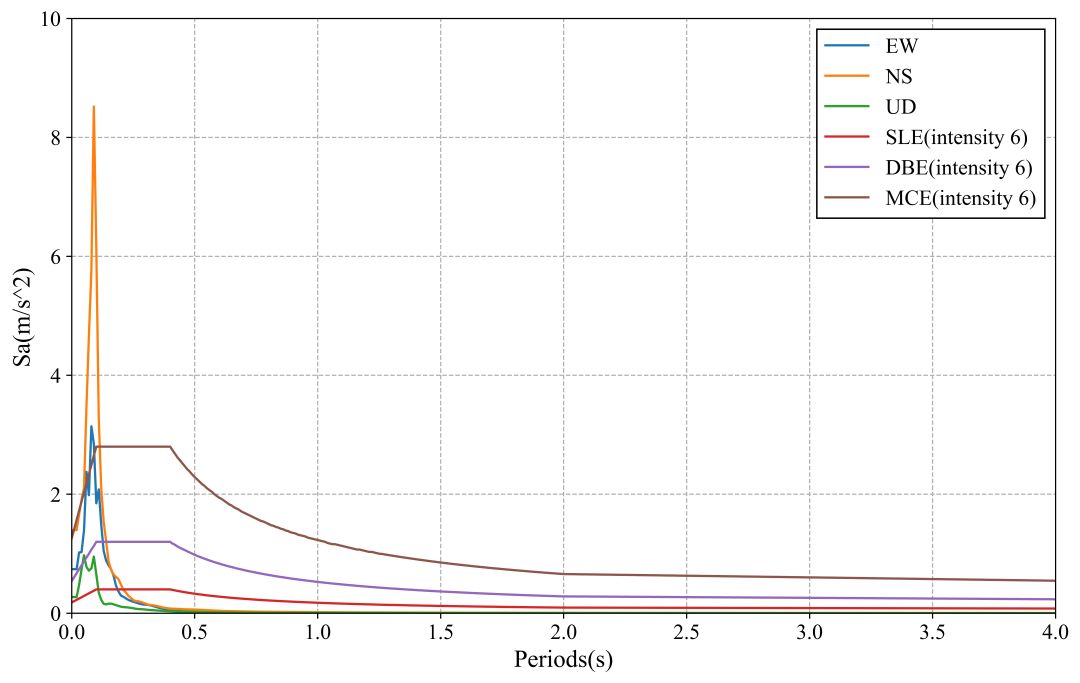
MYG007台站位置为北纬38.58度,东经141.25度(图4),记录到水平向地震动峰值加速度为82.62cm/s2,竖直向地震动峰值加速度为28.25cm/s2。该地震动及反应谱如图5、图6所示。
分析发现MYG002PGA最大,但是破坏力不大,MYG007破坏力更大,因此后续单体建筑破坏分析使用MYG007台站记录的加速度。

图1 MYG002台站位置

(a) EW

(b) NS

(c) UD
图2 MYG002台站地面运动记录

图3 MYG002台站记录反应谱

图4 MYG007台站位置

(a) EW

(b) NS

(c) UD
图5 MYG007台站地面运动记录

图6 MYG007台站记录反应谱
三、地震动对典型城市区域破坏能力分析
利用密布强震台网在震后获取的实时地震动信息,再结合城市抗震弹塑性分析,就可以得到地震发生后不同地点的建筑破坏情况,为抗震救灾决策提供科学支撑。图7(a)为根据20190307日本宫城县4.6级地震震中附近范围内台站记录分析得到的建筑震害分布示意图图7(b)为人员加速度感受分布图。

图7(a) 20190307日本宫城县4.6级地震不同台站地震记录破坏力分布图(建筑抗震承载力取均值)

图7(b) 20190307日本宫城县4.6级地震不同台站地震记录人员加速度感受分布图(建筑抗震承载力取均值)
四、地震动对典型单体结构破坏能力分析
(1) 对典型砌体结构破坏作用
模型1:单层未设防砌体结构
选取图8所示纪晓东等开展的单层未设防砌体结构振动台试验模型,输入MYG007台站记录,分析结果表明该结构将处于轻微破坏状态。(纪晓东等,北京市既有农村住宅砖木结构加固前后振动台试验研究,建筑结构学报,2012,11,53-61.)

图8 单层三开间农村住宅砖木结构振动台试验
模型2:五层简易砌体结构
选取图9所示朱伯龙等开展的五层简易砌体结构足尺试验模型,输入MYG007台站记录,分析结果表明该结构将处于完好状态。(朱伯龙等,上海五层砌块试验楼抗震能力分析,同济大学学报,1981,4,7-14.)


(a) 平面图
(b) 剖面图
图9 五层简易砌体结构布置
(2) 对典型桥梁破坏作用
模型1:某80年代公路桥梁(感谢福州大学谷音教授提供模型)
选取图10所示某80年代公路桥梁模型,输入MYG007台站记录,分析结果表明该桥梁将处于完好状态。

图10 某80年代公路桥梁模型
模型2:某特大桥引桥(感谢福州大学谷音教授提供模型)
选取图11所示某特大桥引桥模型,输入MYG007台站记录,分析结果表明该桥梁将处于完好状态。

图11 某特大桥引桥模型
------End------
相关研究
长按识别二维码,关注我们的科研动态
