【导读】
本文试验非常有趣,但是理论理解起来有点难度。推荐对本问题感兴趣的读者阅读原文。对于普通读者,可以看以下“太长不看版”:
【太长不看版】
1:试验:我们制作了一批尺寸、配筋完全一样的梁柱子结构,进行了1次静力和4次施加不同突然释放自重荷载的连续倒塌动力试验。连续倒塌动力试验中材料应变速度达到1.4/s量级(约为地震荷载应变率的几百到几千倍)

2:动力试验与静力试验相比,存在狭义静动力效应(仅仅考虑静力和动力下能量守恒影响)和广义静动力效应(包括动力加载下的应变率效应及不对称破坏等)。现有动力放大系数表达方法无法准确描述上述复杂过程;
3:考虑动力损伤和材料应变率对结构自身抗力特征的影响,提出了广义动力抗力,能够更加准确地描述结构在实际动力连续倒塌过程中的抗力需求。

【工程力学】2019, Vol. 36, Issue (5): 44-52
Experimental Study on the Dynamic Effects in Progressive Collapse of Beam-Column Concrete Substructures
引言
建筑结构的连续倒塌是一个连续破坏的动力过程,如图1所示。准确评估结构的抗连续倒塌能力需要采用非线性动力计算方法,但非线性动力计算方法建模复杂且计算耗时,适用于安全等级高或结构体系复杂的建筑物。一般工程可采用建模和计算更为简便的线性或非线性的静力计算方法,利用动力放大系数对计算结果进行修正来近似考虑非线性动力效应的影响。

图1 连续倒塌示意图(图片来源于网络)
美国国防部和总务局的两部抗连续倒塌设计规范目前被科学研究和工程实践广泛接受,两部规范关于动力放大系数的最新规定相同,其计算公式是对2个3层和10层框架结构在不同拆除柱工况下所有计算结果进行拟合得到的(图2),其中计算采用sap2000工程软件。针对非线性静力设计和线性静力设计,规范给出了2个不同的动力放大系数计算公式,这样工程上采用简单的线性或非线性的静力计算获得抗力需求后,直接乘以该系数就可以近似获得实际结构的非线性动力抗力需求。在拟合得到计算公式中,动力放大系数是延性系数(for非线性静力计算)或延性相关指标(也就是m-factor,for线性静力计算)的函数,其中不同部位柱被拆除会使结构发生不同延性的变形,相应的动力放大系数是在等位移/变形准则下,非线性动力承载力和(非)线性静力承载力的比值。

图2 美国规范的动力放大系数计算公式
这里面有三个问题值得进一步考虑:
1)结构的复杂性
实际结构的布置和构造要比采用sap2000建立的简单裸框架模型复杂,规范基于的算例是否具有足够的代表性,使得动力放大系数的拟合公式可以适用所有同类结构的分析计算;
2)受力的复杂性
实际结构的受力复杂(如结构偏心受力、不均匀荷载作用),理想数值模型并没有考虑这些因素,而该因素可能提高结构的实际需求,导致产生更大的动力放大系数;
3)材料的动力效应
动力倒塌过程中动力效应应该包括2个层次,即结构构件的动力效应和材料的动力效应。前者是结构行为,是目前试验和理论研究主要考虑的,采用结构动力学方法和能量方法可以求解;后者是材料行为,根据已经开展的动力倒塌实验,连续倒塌应变率在10^-2~10^-1这个级别,比地震作用下的材料应变率略高,引起的钢筋和混凝土材料强度增强5%-20%。目前的理论和数值研究(包括规范的计算算例)没有考虑材料动力和静力强度的差别,可能导致理论和实际动力效应之间的偏差。
为了分析这些偏差,有必要采用试验手段对结构连续倒塌的动力效应进行更加深入的研究。目前的连续倒塌动力试验主要采用等力准则,采用静动力试验的两两对比结果分析动力放大系数,但是根据上文可知,结构的变形程度(发挥的延性)不同,结构的动力放大系数也是不同的,两两对比不能完全分析出结构动力放大系数随延性的变化规律。
此外,其他已进行的试验受条件限制,有的静动力试验加载方式不同、甚至试件间批次不同导致材性指标相差较大;或想通过有限的试验分析更多因素,如不同配筋率、钢筋构造、边界约束条件等,对动力效应的影响,难以深入理解结构动力效应的变化规律。
为避免上述缺陷,本研究针对相同构造和材料的一批试件,分别开展静力和动力试验,使试件发生不同程度的延性变形,来分析动力效应随延性变化的规律,为相关科学研究提供参考。
试验概况
在研究中,对6个完全相同的钢筋混凝土两跨连续梁子结构试件分别进行了拆除中柱工况下的静力和动力连续倒塌试验,试件如图3所示。

(a) 平面图

(b)Ⅰ-Ⅰ剖面图
图3 试件尺寸(单位:mm)
静力试验(ST)通过千斤顶对试件施加从零到倒塌极限的连续变形,获得了试件的静力抗力-变形全曲线。
动力试验成功进行了4次,在试件上施加了4个不同等级的配重(分别为:14.11kN(DT-1), 19.21kN(DT-2), 21.17kN(DT-3), 28.03kN(DT-4)), 然后通过瞬脱钩突然释放配重,使得试件进入动力倒塌过程。通过结构变形和材料应变响应分析了试件的动力倒塌破坏机理,并基于能量平衡原理分析了动力效应对结构连续倒塌抗力的影响。动力试验方案如图4所示,试验中试件边界条件与静力试验相同。

图4 动力试验示意图
试验结果
DT-4的试验过程视频如图5所示。

图5 试验视频
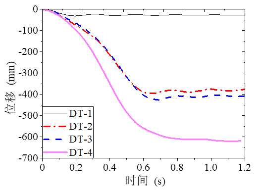
试件柱头位移随时间的变化,如图6所示。可以看到,随着配重增大,试件的挠度和变形发展速度(位移曲线斜率)增大,表明试件倒塌的速度和加速度更大,结构需要提供更大的抗力和变形来消耗结构势能转化的动能。但是值得注意的是,极限荷载下的动力试验中试件发生的变形远大于静力试验(从463mm增大到624mm),并且钢筋并没有发生断裂。这是因为动力条件下梁的转动变形发展迅速,梁顶钢筋较早参与受拉分担了底部钢筋受力,避免底部钢筋断裂。另外,动力条件下材料的强度和极限应变提高对此也有帮助。

图6 位移-时间曲线
从应变数据发现了两个现象:
(1)材料应变率效应
大部分动力试验的材料应变比静力试验小,如A、C、D截面受压区钢筋应变(图7)。这印证了试验现象的发现:加载速度对材料的变形产生影响,导致受压区压酥现象轻、材料破坏范围小,受拉区裂缝集中开展。动力试验的材料应变率效应(强度和刚度的提高)是造成该现象的原因。

图7 D截面钢筋应变
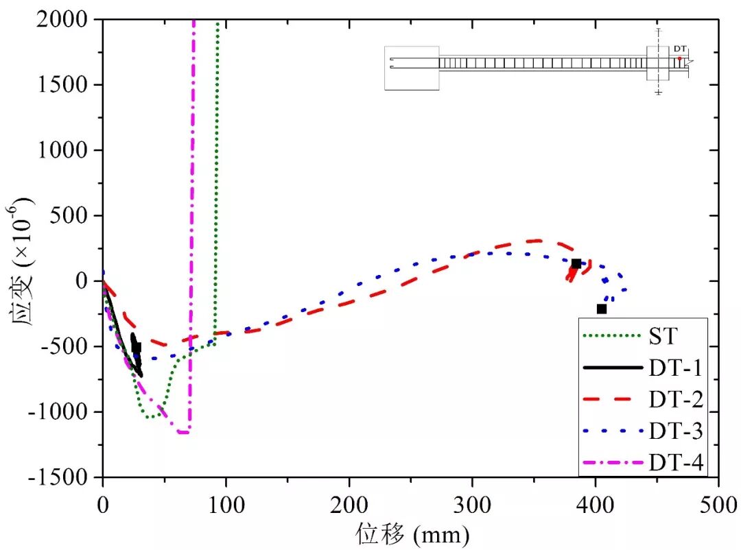
(2) 非对称受力
实际结构存在初始缺陷,加载力存在偏心,因此实际结构受力往往是不对称的,动力场景下该现象变得突出。
图8给出了DT-4试验的两侧梁跨中混凝土应变,可以看到加载初期随着变形加大,不均匀受力导致应变差不断增大。在构件层次上,将会导致积累的梁轴向出现变形差,当变形差足够大时,构件约束使得两侧梁的变形重新调整、应变重新同步发展,这导致材料应变出现一个波动。
如图8所示柱头两侧跨中混凝土的应变,在250mm至350mm区间内不一致。试件的这种不对称受力还会进一步减弱结构的实际承载力。

图8 DT-4试件跨中混凝土应变-位移曲线
连续倒塌动力抗力评估
(1)狭义和广义的动力效应
结构的静力和动力倒塌抗力不同:静力抗力是结构承受准静态倒塌荷载时的承载力,而动力抗力是结构承受动态倒塌荷载时的承载力。一次动力倒塌试验仅能获得动力倒塌荷载-抗力曲线上的一个性能点,因此需要一系列动力试验才能获得结构的完整动力倒塌荷载-变形曲线。
目前的理论研究中,通常采用能量方法将静力-变形能力曲线转换为动力倒塌荷载-变形能力曲线。两个曲线的比值就是结构系统抗连续倒塌的动力放大系数,动力放大系数是位移的函数,而位移和结构变形(延性)相关。因此,目前规范和研究给出了目标位移下动力放大系数和延性系数的关系,为工程设计参考。
在本研究中,称这种仅考虑结构连续倒塌动力平衡条件对抗力和变形需求的影响为狭义的动力效应,相应的结构静力倒塌抗力和动力倒塌抗力为结构狭义静力抗力和狭义动力抗力。
本试验表明动力条件下材料应变率效应、结构应力集中和非对称受力,导致结构自身抗力发生改变,进一步对结构的内力和变形产生影响。这一影响包含结构动力平衡条件对结构的影响,因此称之为广义的动力效应,相应的结构静力倒塌抗力和动力倒塌抗力为结构广义静力抗力和广义动力抗力。
(2)广义静力抗力曲线
静力试验获得的试件狭义静力抗力(荷载-中柱位移曲线)RS'如图9(a)红色虚线所示,广义静力抗力RS''的曲线(图中蓝色虚线)按以下方法获得。考虑动力试验中配重系统时刻满足动力平衡方程:

其中
为结构的阻尼力和恢复力,这两项之和即为结构的广义静力抗力RS'':

根据上式和实测数据可以直接计算获得结构的广义静力抗力。采用DT-4试验结果进行分析。由于实际试验中的非理想受力状态,根据实测数据直接得到的广义静力抗力是振荡的(图9b),因此采用多项式方程对该曲线拟合,获得了光滑连续的广义静力抗力曲线。

(a) 抗力对比

(b) DT-4广义静力抗力及变形速度
图9 倒塌抗力-位移曲线
(3)动力抗力曲线
基于等能量原理可以将静力抗力曲线转换为动力抗力曲线可得:

通过该方法得到的狭义动力抗力RD'和广义动力抗力RD''如图9(a)红色实线和蓝色实线所示。
(4)实验数据检验
4次动力试验的性能点如图9(a)中4个方形点所示。从曲线对比,可以发现: 广义动力抗力曲线能够更好地描述结构的实际性能,4个性能点均穿过了该曲线。特别是DT-2和DT-3,如按照狭义动力抗力曲线进行分析,小变形下结构具有两个抗力相同的性能点,试件应该在该变形下达到新的平衡状态。但根据广义动力抗力曲线,小变形下结构抗力低,因此试件不可能在该变形下平衡,只能在实测位移376mm或408mm时达到平衡。这进一步证明了上述试验和理论分析的正确性。
(5)动力效应分析
根据动力效应的定义,取等位移条件下的结构静力抗力和动力抗力之比为动力放大系数,其中RS'/RD'是不考虑动力损伤的现有理论动力放大系数,RS''/RD''是考虑动力损伤的实际动力放大系数。本试验获得的2类动力放大系数如图10所示,其中考虑到线弹性阶段的动力放大系数为2,故各动力放大系数曲线取第一根钢筋屈服后的部分。

图10 动力放大系数对比
可以发现有以下3个规律:
① 抗连续倒塌设计目标机制(小变形的梁机制和大变形的悬链线机制)下动力放大效应较大,而两个机制转换区间的动力放大效应较小,动力放大系数甚至小于1.0。
② 梁机制下:动力损伤对该阶段动力效应的影响比材料应变率效应大,此时结构累积耗能不大,动力损伤能够同时降低RS''和RD'',导致实际动力放大系数RS''/RD''大于理论动力放大系数RS'/RD'。这表明传统的抗连续倒塌动力效应理论低估了结构的动力效应。
③ 悬链线机制下:材料应变率效应对该阶段的影响增强,但是RS''增大快于累积耗能指标RD'',使得后期实际动力放大系数RS''/RD''大于理论动力放大系数RS'/RD'。这表明传统理论同样低估了结构的动力效应,但是原因和梁机制不同。
结论
本文对混凝土试验梁柱子结构分别进行了1次静力和4次动力连续倒塌试验,对比分析了结构的动力效应,主要结论如下:
(1) 动力试验中材料应变速度达到1.4×10^0量级,受动力损伤集中和材料应变率效应影响,梁端受拉裂缝集中开展,受压区混凝土压碎剥落区域较小。
(2) 因为考虑动力损伤和材料应变率对结构自身抗力特征的影响,广义动力抗力能够更加准确地描述结构在实际动力连续倒塌过程中的抗力需求。
(3) 动力损伤(包括集中和非对称受力)对梁机制动力效应的影响大,材料应变率效应对悬链线机制动力效应的影响大,在工程感兴趣的目标位移处,结构的实际动力放大系数均大于不考虑动力损伤和材料应变率效应的传统理论预测值。
---End---
相关研究
长按识别二维码,关注我们的科研动态
