RED-ACT Report
Real-time Earthquake Damage Assessment using City-scale Time-history analysis
致谢和声明:
感谢中国地震台网中心为本研究提供数据支持。本分析仅供科研使用,具体灾情和灾损分析应根据现场调查情况确定。
一、地震情况简介
据中国地震台网正式测定,3月28日5时36分在青海海西州茫崖市发生5.0级地震,震源深度9千米,震中位于北纬38.28度,东经90.89度。
二、强震记录及分析
20190328青海海西州茫崖市5.0级地震获得了1组地震动,由于地震动没有完全收集,可能还有更强的记录。典型地震记录分析如下:
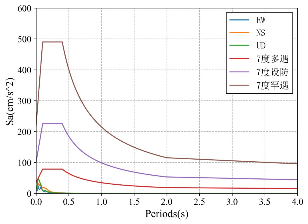
63ZMS记录台站位置北纬38.21度,东经100.05度(图1),记录到水平向地震动峰值加速度为13.0cm/s2,竖直向地震动峰值加速度为13.7cm/s2。该地震动如图2、图3所示。

图1 63ZMS台站位置

(a) EW

(b) NS

(c) UD
图2 63ZMS台站地面运动记录

图3 63ZMS台站记录反应谱
利用密布强震台网在震后获取的实时地震动信息,再结合城市抗震弹塑性分析,就可以得到地震发生后不同地点的建筑破坏情况,为抗震救灾决策提供科学支撑。图4为根据20190328青海海西州茫崖市5.0级地震震中附近范围内台站记录分析得到的建筑震害分布示意图,图5为根据20190328青海海西州茫崖市5.0级地震震中附近范围内台站记录分析得到的人员加速度感受分布示意图。

图4 20190328青海海西州茫崖市5.0级地震不同台站地震记录破坏力分布图
(建筑抗震承载力取均值)

图5 20190328青海海西州茫崖市5.0级地震不同台站地震记录人员加速度感受分布图
(建筑抗震承载力取均值)

孙楚津
---End---
相关研究
长按识别二维码,关注我们的科研动态
