RED-ACT Report
Real-time Earthquake Damage Assessment using City-scale Time-history analysis
2019-03-01 M5.0 Te Araroa, New Zealand Earthquake
Research group of Xinzheng Lu at Tsinghua University ([email protected])
First reported at 09:00, 03-01, 2019 (Beijing Time, UTC +8)
Acknowledgments and Disclaimer
The authors are grateful for the data provided by GeoNet. This analysis is for research only. The actual damage resulting from the earthquake should be determined according to the site investigation.
1. Introduction to the earthquake event
At Mar 1 2019 8:55 AM (Local Time, UTC +13), an M 5.0 (GeoNet) earthquake occurred in Te Araroa, New Zealand. The epicenter was located at 178.88 -37.59, with a depth of 25.5 km.
2. Recorded ground motions
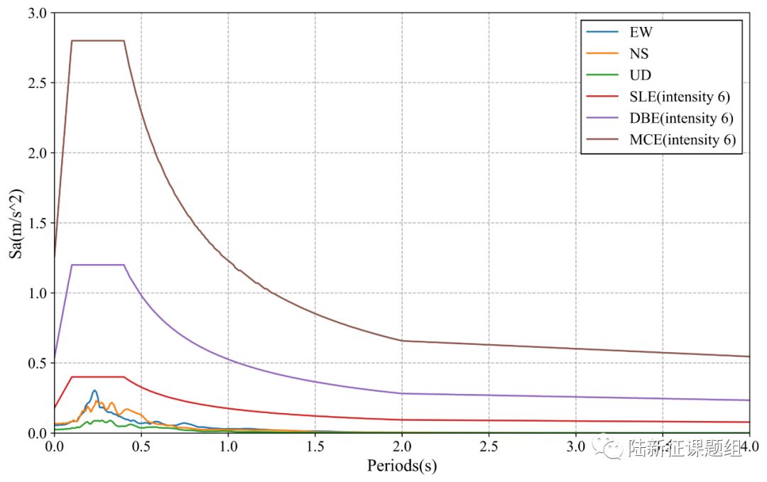
6 ground motions near to epicenter of this earthquake were analyzed. The names and locations of the stations can be found Table 1. The maximal recorded peak ground acceleration (PGA) is 6.7 cm/s/s. The corresponding response spectra in comparison with the design spectra specified in the Chinese Code for Seismic Design of Buildings are shown in Figure 1.




Figure 1 Response spectra of the recorded ground motions with maximal PGA
3. Damage analysis of the target region subjected to the recorded ground motions
Using the real-time ground motions obtained from the strong motion networks and the city-scale nonlinear time-history analysis (see the Appendix of this report), the damage ratios of buildings located in different places can be obtained. The building damage distribution and the human uncomfortableness distribution near to different stations is shown in Figure 2 and Figure 3, respectively. These outcomes can provide a reference for post-earthquake rescue work.

Figure 2 Damage ratio distribution of the buildings near to different stations

Figure 3 Human uncomfortableness distribution near to different stations
The details can be accessed at
http://www.luxinzheng.net/software/ 2019-03-01-NZ-5.0.html
http://www.luxinzheng.net/software/ 2019-03-01-NZ-5.0-Acc.html
Table 1 Names and locations of the strong motion stations
No. Station Name Longitude Latitude
1 MXZ_20 178.3067 -37.5622
2 TDHS_20 178.3653 -37.6333
3 PUZ_20 178.2572 -38.0717
4 URZ_20 177.1108 -38.2592
5 RTZ_20 176.9806 -38.6156
6 MTHZ_20 176.8411 -38.8522
------End------
相关研究
长按识别二维码,关注我们的科研动态
