致谢和声明:
感谢中国地震台网中心为本研究提供数据支持。本分析仅供科研使用,具体灾情和灾损分析应根据现场调查情况确定。
一、地震情况简介
据中国地震台网正式测定,4月18日13时1分在台湾花莲县海域发生6.7级地震,震源深度24千米,震中位于北纬24.02度,东经121.65度。
二、强震记录及分析
20190418台湾花莲县6.7级地震中国地震台网中心获得了10组地震动,由于地震动没有完全收集,可能还有更强的记录。典型地震记录分析如下:
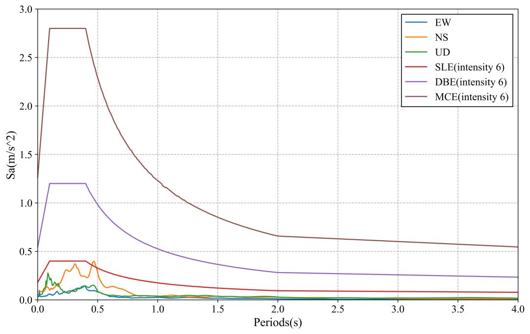
35SST记录台站位置北纬24.74度,东经118.63度(图1),记录到水平向地震动峰值加速度为8.32cm/s2,竖直向地震动峰值加速度为5.18cm/s2。该地震动如图2、图3所示。

图1 35SST台站位置

(a) EW

(b) NS

(c) UD
图2 35SST台站地面运动记录

图3 35SST台站记录反应谱
三、地震动对典型城市区域破坏能力分析
利用密布强震台网在震后获取的实时地震动信息,再结合城市抗震弹塑性分析,就可以得到地震发生后不同地点的建筑破坏情况,为抗震救灾决策提供科学支撑。图4为根据20190418台湾花莲县6.7级地震震中附近范围内台站记录分析得到的建筑震害分布示意图,图5为根据20190418台湾花莲县6.7级地震震中附近范围内台站记录分析得到的人员加速度感受分布示意图。

图4 20190418台湾花莲县6.7级地震不同台站地震记录破坏力分布图
(建筑抗震承载力取均值)

图5 20190418台湾花莲县6.7级地震不同台站地震记录人员加速度感受分布图
(建筑抗震承载力取均值)
四、台站附近地震滑坡分析
根据当地地形数据、岩性数据和实测地面运动记录,可以计算得到不同滑坡体饱和比例下的滑坡分布,如图6所示。其中,底图为当地坡度分布图,每个圆圈代表每个台站的计算结果,圆圈中的数字代表发生滑坡的临界坡度,台站附近坡度大于该数值的地方滑坡发生概率高。

(a)滑坡体饱和比例为 0%

(b)滑坡体饱和比例为50%

(c)滑坡体饱和比例为 90%
图6 不同台站附近地震滑坡分布

---End---
程庆乐

赵鹏举

郑哲
相关研究
长按识别二维码,关注我们的科研动态
