RED-ACT Report
Real-time Earthquake Damage Assessment using City-scale Time-history analysis
Apr. 28, M5.6 Japan Tokachi-chiho Nambu Earthquake
Research group of Xinzheng Lu at Tsinghua University ([email protected])
First reported at 03:30, Apr. 28, 2019 (Beijing Time, UTC +8)
Acknowledgments and Disclaimer
The authors are grateful for the data provided by K-NET and KiK-net. This analysis is for research only. The actual damage resulting from the earthquake should be determined according to the site investigation.
Scientific background of this report can be found at:
http://www.luxinzheng.net/software/Real-Time_Report.pdf
1. Introduction to the earthquake event
At 02:25 28 Apr 2019 (Local Time, UTC +9), an M 5.6 (JMA) earthquake occurred in Japan Tokachi-chiho Nambu. The epicenter was located at 142.9 42.5, with a depth of 110.0 km.
2. Recorded ground motions
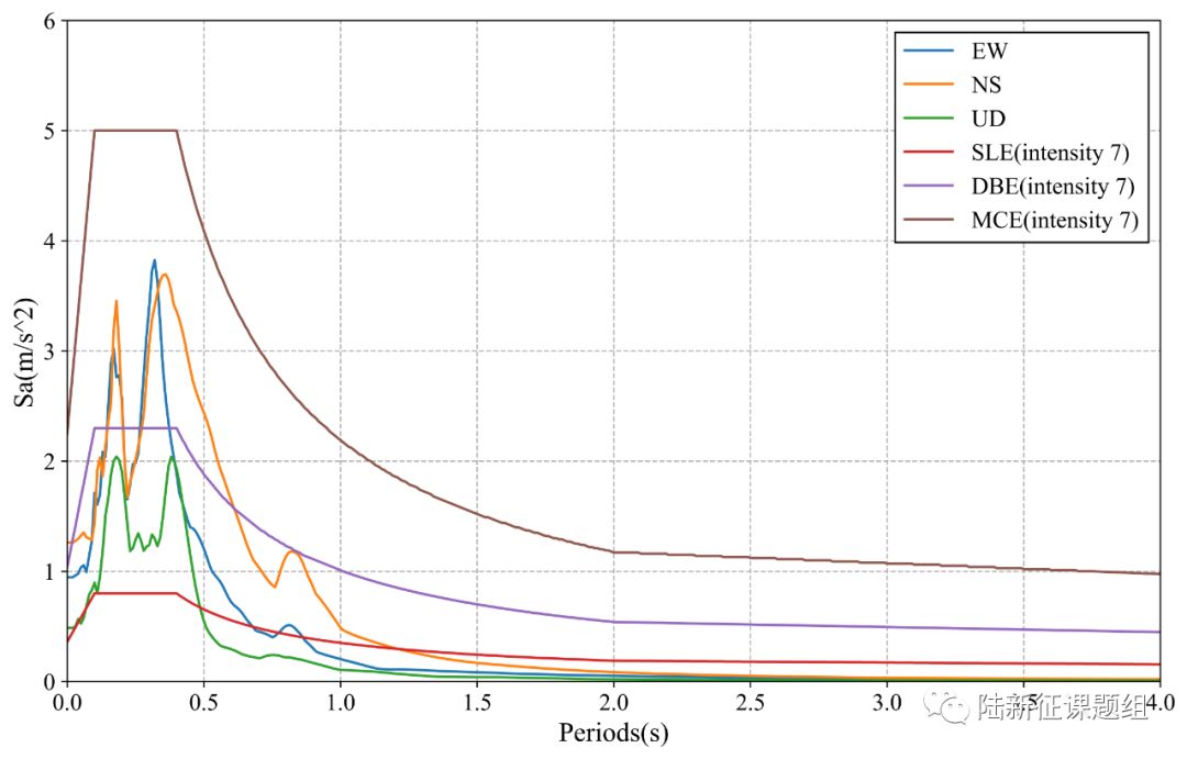
33 ground motions near to epicenter of this earthquake were analyzed. The names and locations of the stations can be found Table 1. The maximal recorded peak ground acceleration (PGA) is 126 cm/s/s. The corresponding response spectra in comparison with the design spectra specified in the Chinese Code for Seismic Design of Buildings are shown in Figure 1.




Figure 1 Response spectra of the recorded ground motions with maximal PGA
3. Damage analysis of the target region subjected to the recorded ground motions
Using the real-time ground motions obtained from the strong motion networks and the city-scale nonlinear time-history analysis (see the Appendix of this report), the damage ratios of buildings located in different places can be obtained. The building damage distribution and the human uncomfortableness distribution near to different stations is shown in Figure 2 and Figure 3, respectively. These outcomes can provide a reference for post-earthquake rescue work.

Figure 2 Damage ratio distribution of the buildings near to different stations

Figure 3 Human uncomfortableness distribution near to different stations
4. Earthquake-induced landslide of the target region subjected to the recorded ground motions
According to local topographic data, lithology data and ground motion records, the distribution of earthquake-induced landslide near to different stations under the different proportions of the landslide slab thickness that is saturated can be calculated, as shown in Figure 4. The basemap shows the distribution of the local slope. The number in the circle represents the critical slope of the landslide. The earthquake-induced landslide tends to occur with a higher probability when the slope is larger than this threshold value.

(a) The proportion of the landslide slab thickness that is saturated equals 0%

(b) The proportion of the landslide slab thickness that is saturated equals 50%

(c) The proportion of the landslide slab thickness that is saturated equals 90%
Figure 4 Distribution of earthquake-induced landslide near to different stations
Scientific background of this report can be found at: http://www.luxinzheng.net/software/Real-Time_Report.pdf
Table 1 Names and locations of the strong motion stations
No. Station Name Longitude Latitude
1 AOM01020190428022531 141.142 40.8721
2 HKD07120190428022526 145.26 43.2326
3 HKD07520190428022522 145.029 43.1309
4 HKD07820190428022456 144.498 43.1486
5 HKD08520190428022453 144.07 42.9581
6 HKD08920190428022452 143.554 43.2436
7 HKD09020190428022451 143.618 43.1213
8 HKD09120190428022450 143.659 42.8087
9 HKD09220190428022451 143.448 42.9283
10 HKD09520190428022448 143.214 42.9311
11 HKD09620190428022449 143.136 42.6975
12 HKD09720190428022448 143.421 42.6181
13 HKD09820190428022448 143.279 42.4984
14 HKD09920190428022453 142.839 43.0736
15 HKD10020190428022448 143.312 42.2864
16 HKD10320190428022455 142.297 42.7275
17 HKD10420190428022449 142.131 42.5886
18 HKD10520190428022449 142.054 42.4825
19 HKD10620190428022452 142.369 42.3414
20 HKD10820190428022448 142.564 42.2528
21 HKD10920190428022448 142.767 42.1678
22 HKD11320190428022449 143.315 42.1287
23 HKD12120190428022454 141.855 43.3332
24 HKD12520190428022450 142.135 42.7608
25 HKD12620190428022451 141.928 42.575
26 HKD12720190428022451 141.82 42.8741
27 HKD12820190428022451 141.822 42.7655
28 HKD12920190428022508 141.606 42.6344
29 HKD15820190428022457 141.141 41.8345
30 HKD18120190428022454 141.546 43.1161
31 HKD18220190428022454 141.552 42.9925
32 HKD18420190428022452 141.601 42.79
33 HKD18520190428022453 141.402 42.7755
---End---
相关研究
长按识别二维码,关注我们的科研动态
