致谢和声明:
感谢中国地震台网中心为本研究提供数据支持。本分析仅供科研使用,具体灾情和灾损分析应根据现场调查情况确定。
一、地震情况简介
据中国地震台网正式测定,1月7日0时22分在新疆喀什地区伽师县发生4.8级地震,震源深度10千米,震中位于北纬39.92度,东经77.66度。
二、强震记录及分析
20190107新疆伽师4.8级地震获得了11组地震动,由于地震动没有完全收集,可能还有更强的记录。典型地震记录分析如下:
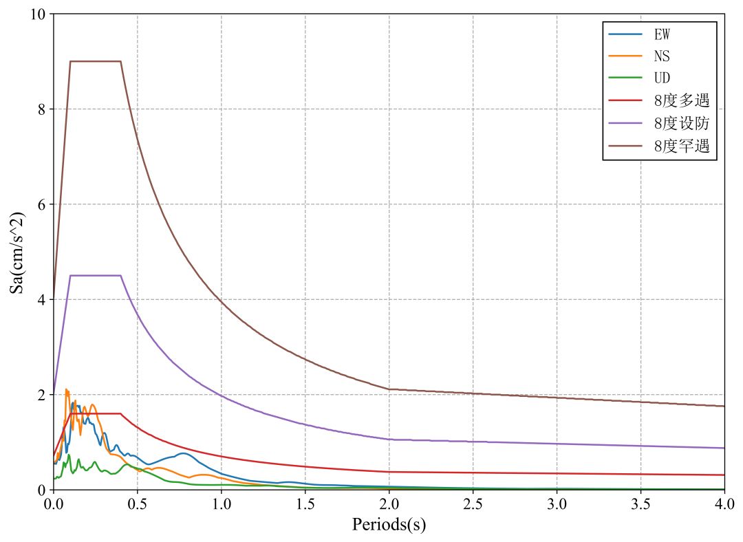
65XKR记录台站位置北纬39.81度,东经77.37度(图1),记录到水平向地震动峰值加速度为58.52cm/s2,竖直向地震动峰值加速度为23.49cm/s2。该地震动如图2、图3所示。

图1 65XKR台站位置

(a) EW

(b) NS

(c) UD
图2 65XKR台站地面运动记录

图3 65XKR台站记录反应谱
利用密布强震台网在震后获取的实时地震动信息,再结合城市抗震弹塑性分析,就可以得到地震发生后不同地点的建筑破坏情况,为抗震救灾决策提供科学支撑。图4、图5及图6为根据20190107新疆伽师4.8级地震震中附近范围内台站记录分析得到的建筑震害分布示意图。点击“阅读原文”可以查看网页版地震力分布图。

图4 20190107新疆伽师4.8级地震不同台站地震记录破坏力分布图
(建筑抗震承载力均值)

图5 20190107新疆伽师4.8级地震不同台站地震记录破坏力分布图
(建筑抗震承载力加一倍标准差)

图6 20190107新疆伽师4.8级地震不同台站地震记录破坏力分布图
(建筑抗震承载力减一倍标准差)
本报告由程庆乐等完成
------------------End--------------
相关研究
长按识别二维码,关注我们的科研动态
