2016年上半年,一则消息在朋友圈得到了广泛关注。据传规范将有较大调整。主要内容包括:
(1) 将水平地震作用效应的分项系数由1.3改为1.4;
(2) 地震动力放大系数由2.25提高至2.50;
(3) 永久荷载的分项系数从1.2调整至1.3,可变荷载从1.4调整至1.5;
(4) 住宅和办公楼楼面荷载从2.0提高到2.5;
(5) 风荷载等也有相应调整。

如此重要的调整,自然一石激起千层浪。很多人士从不同的角度,对这一问题表达了自己的观点。
从我们课题组以往的研究及震害调查结论来说,一直是大力支持提升建筑抗震安全水平的。一些研究论文包括:
(1) 框架结构抗地震倒塌能力的研究——汶川地震极震区几个框架结构震害案例的分析, 建筑结构学报, 2009
(2) 不同抗震设防RC框架结构抗倒塌能力研究, 工程力学, 2011
(3) 丙类与乙类设防RC 框架结构抗地震倒塌能力对比, 建筑结构学报, 2011
(4) 基于一致倒塌风险的建筑抗震评价方法研究, 建筑结构学报, 2012
(5) 我国7 度设防等跨RC 框架抗地震倒塌能力研究, 地震工程与工程振动, 2011
其基本结论是:对于我国低烈度区框架结构,其抗地震倒塌能力偏弱;框架柱的变形能力不足;由于低烈度区框架柱纵筋往往受构造控制,因此提升构造和延性(提升抗震等级、增加体积配箍率、减小轴压比)的效果要比提升地震作用来的效果更明显。
所以,规范修订的消息发布后,我们课题组就希望能够通过定量分析的手段,研究一下这一修订对框架结构抗震安全的实际影响。具体研究工作由我们课题组之前的两位毕业生:卢啸和李梦珂负责。
具体研究内容包括:
首先我们基于课题组毕业的施炜博士的研究工作,建立了一系列混凝土框架模型。框架为3跨,每跨6m,层数分别为4层、6层、8层、10层。分别按照7度、8度设防进行了截面和配筋设计。

首先我们看一下设计参数调整对结构设计结果的影响。由于分项系数增加,导致柱子轴力增加,所以柱子的轴压比都有一定程度的提高。部分算例因为轴压比超限,需要对柱子截面尺寸进行重新设计。

此外,由于地震荷载增加,地震作用下最大层间位移角也有所增加,不过对于本次算例,层间位移角都未超限。

所以,经过分析,这8个框架需要重新设计的内容及调整方法如下:

以7度设防的4层框架为例,由于参数调整后轴压比超限,所以柱子截面有所增大,所以底层柱子的混凝土用量略有增加,而其他构件混凝土用量(特别是楼板)基本不变。整个结构的混凝土用量增加很小。

如果进一步分析钢筋用量,则非常有意思。从机理上说,如果要提升抗震安全性,提高柱子的配筋是最有效的。但是由于很多设计参数调整都是针对竖向荷载的,结果导致框架梁和楼板的配筋有显著增加,而框架柱增加的配筋非常有限。

上述结论对其他算例也基本成立,所有算例混凝土用量增加都只有1%左右。

而钢筋用量增加则稍微多一些,基本上在4%到7%之间。不过大部分增加的钢筋都位于水平构件(梁和板)里面,竖向构件配筋增加很有限。

这里可以给非土木工程专业的人员科普一下,现在钢筋混凝土建筑的用钢量大约每平米40-50公斤。所以增加的钢材的成本大约等于50kg*7%*3000元/吨=10.5元/平方米。所以如果哪个奸商说这样修改设计参数引起他成本显著增加要涨房价……

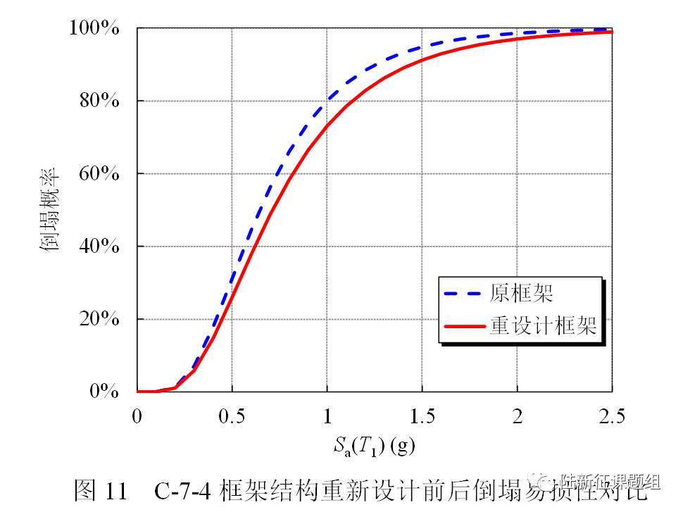
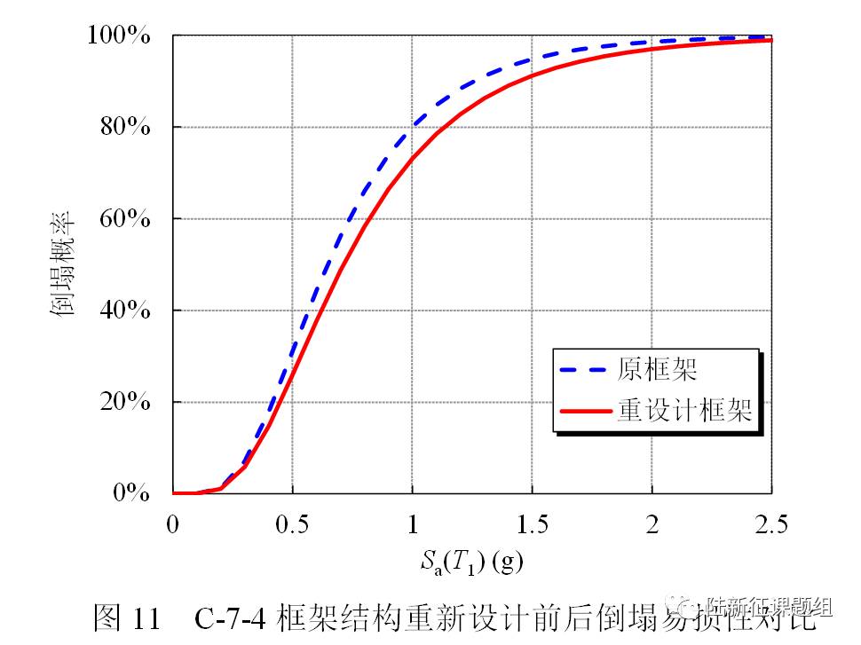
最后我们看看这样调整到底对结构的抗震安全性有哪些影响,于是我们就采用基于增量动力分析(IDA)的倒塌分析方法,研究了重新设计后框架的抗地震倒塌能力。基于增量动力分析(IDA)的倒塌分析方法在我们之前《建筑抗震弹塑性分析》一书中做了详细的介绍。其基本原理就是我们首先建立研究对象的弹塑性模型,然后输入一组地震动(本文我们采用的是美国FEMA P695报告推荐的22组远场地震动),从小到大不断增大这些地震动的强度,研究在不同强度地震动下建筑物发生倒塌的比例有多少。

而后,由于我们抗震规范要求的是“大震不倒”,于是我们就把结构出现50%倒塌率的地震动强度除以我们规范规定的“罕遇地震水平”,于是我们就可以得到一个“抗倒塌安全储备(CMR)”,这个CMR就类似我们熟悉的经典安全系数“大老K”,可以定量的评价建筑的抗倒塌能力强弱。
首先我们来看看8度设防框架的结果。基本结论就是参数调整后,抗倒塌储备平均有4%-11%的提高,相对于其成本增加而言,这个效果也还说得过去。

但是对于7度设防框架而言,结果就有点让人郁闷了。虽然对于大部分框架,倒塌储备提升了6%-12.5%,但是对于7度设防的6层框架而言,其抗倒塌储备非但没有提高,反而还有所降低。为了这个问题我们反复验算和讨论了多次,最后发现,修改设计参数后,框架梁的配筋有显著增加,这样弱化了结构特别是上部楼层的“强柱弱梁”效应,最后导致结构的倒塌模式从底层倒塌转移到了第四层倒塌,并且抗倒塌能力也有明显的降低。

最后是论文的结论,更详细的内容请大家阅读我们的论文(点击“阅读原文”):
(1)调整措施将明显增大框架结构的设计地震力,但设计地震力的增大比例随设防烈度的提高略有降低,7度设防框架设计地震力(基底剪力和倾覆弯矩)增大约16.7%,8度设防框架设计地震力增大约6.9%。
(2)恒、活载分项系数的调整对框架结构柱的轴压比有明显影响,约增大底层柱轴压比8%。
(3)调整措施对框架结构混凝土用量的影响很小,增加量均在1.5%以内,且与结构设防烈度和层数无明显关系。
(4)调整措施将提高结构的钢筋用量约6%,且8度设防框架的钢筋增加量略多于7度设防框架。钢筋用量的增加主要来源于楼板和框架梁;由于大部分柱配筋由构造控制,调整措施对柱的钢筋用量影响很小。
(5)调整措施对底层柱的抗震能力有所提高,而大部分柱的配筋由构造确定,故对其它楼层柱的抗震能力影响非常小。
(6)对于初始倒塌始于底层的倒塌模式,调整措施能明显提高框架结构的抗倒塌能力;随着设防烈度提高,调整措施对框架结构抗倒塌能力的提高程度略有降低。但如果框架结构上部楼层存在明显薄弱层,结构的初始倒塌始于上部楼层,调整措施反而可能会使结构的抗倒塌能力降低。
此外,本文仅研究了“调整措施”对II类场地第二设计分组框架的影响,且柱轴压比超限、梁截面抗剪不足时,仅采用了增大的截面的方案解决问题,在后续的研究中,将进一步考虑其它场地类别、地震设计分组和轴压比超限、梁截面抗剪不足的其它解决方案等因素,使结论的适用性更加广泛。
-----------------------------------
地震作用设计参数调整对框架结构抗震设计及安全性的影响
卢啸, 陆新征, 李梦珂, 顾栋炼, 解琳琳
摘 要:汶川、芦山等大地震震害经验表明:地震中建筑遭受的实际烈度经常远高于规范规定的设防烈度,这导致建筑结构在地震中受到非常严重的破坏。虽然随着规范的改进和新的设防区划图的提出,我国建筑抗震的安全水准在不断提升,但是很多专家仍认为目前建筑结构的抗震安全储备偏低。因此,确定合理的地震作用对保证建筑结构的抗震安全性有重要意义。本文以基于2010版《建筑抗震设计规范》设计的一系列钢筋混凝土框架结构为研究对象,通过调整地震动力放大系数、地震作用和荷载分项系数等参数的取值,对框架进行重设计,并对框架结构进行倒塌分析,研究地震作用设计参数调整对框架结构的设计控制指标、地震力、材料用量和抗震安全性造成的影响。研究结果表明:调整措施将使底层柱轴压比增大约8%;楼板和框架梁的钢筋用量提高约6%;对初始破坏始于底层的倒塌模式,调整措施能明显提高结构的抗震安全性,但随着设防烈度提高,地震下抗倒塌能力的提高程度略有降低。
关键词:地震作用;钢筋混凝土框架;轴压比;倒塌分析;抗震安全性
其他相关研究